Сукралоза CAS № 56038-13-2
CAS нөмірі: 56038-13-2
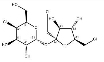
Химиялық формуласы: S12H19 Салвад
Синонимдер:
лоро-4-дезокси-
4,1',6'-трихлоргалактозокроза
1,6-дихлор-1
MOQ (ең аз тапсырыс саны): 1 FCL (толық контейнерлік жүктеме)
Сыртқы түрі:Ақ ұнтақ
Сукралоза CAS № 56038-13-2
Сукралоза - қанттан жасалған жалғыз калориясыз тәттілендіргіш. Бұл шын мәнінде АҚШ-тың FDA және басқа реттеуші органдары мақұлдаған және нарыққа шыққан ең соңғы қоректік емес тәттілендіргіш.
Сукралоза қант молекуласындағы үш гидроксил тобына хлордың үш атомын таңдап алмастыратын көп сатылы патенттелген өндіріс процесі арқылы қанттан алынады. Бұл өзгеріс калориясы жоқ, бірақ сахарозадан 600 есе тәтті тәттілендіргіш шығарады, бұл оны сахариннен екі есе тәтті және аспартамнан төрт есе тәтті етеді.
| Сукралозаның химиялық қасиеттері |
| Балқу нүктесі | 115-1018°C |
| альфа | D +68,2° (c = 1,1 этанолда) |
| Қайнау температурасы | 104-107 С |
| тығыздығы | 1,375 г/см |
| бу қысымы | 25℃ температурада 0Па |
| сыну көрсеткіші | 1.604 |
| сақтау температурасы. | 2-8°C |
| ерігіштігі | DMF: 30 мг/мл DMSO: 30 мг/млPBS (рН 7,2): 1 мг/мл |
| пішін | Ұнтақ |
| пка | 12,52±0,70(Болжам бойынша) |
| түс | Ақ |
| PH | 6-8 (100г/л, H2O, 20°C) |
| Иіс | не кристал. ұнтақ, иіссіз, тәтті дәм |
| Оптикалық айналу | [α]/D 86,0±2,0°, c = 1 H2O |
| Суда ерігіштігі | Суда ериді. |
| Мерк | 14.8880 |
| BRN | 3654410 |
| Тұрақтылық: | Гигроскопиялық |
| Косметика Құрамы Функциялар | БЕРІ ЖАҒДАЙЫ |
| LogP | 20℃ температурада -0,51 |
| CAS деректер қорының анықтамасы | 56038-13-2(CAS дерекқорының анықтамасы) |
| EPA субстанцияларды тіркеу жүйесі | .альфа.-D-галактопиранозид, 1,6-дихлоро-1,6-дидеокси-.бета.-D-фруктофуранозил 4-хлоро-4-дезокси- (56038-13-2) |
| Қауіпсіздік туралы ақпарат |
| Қауіпті кодтар | Си |
| Тәуекел туралы мәлімдемелер | 36/37/мед |
| Қауіпсіздік мәлімдемелері | 26-37/39-24/Бр |
| WGK Германия | 3 |
| RTECS | LW5440140 |
| HS коды | 2932 14 00 |
| Қауіпті заттар туралы деректер | 56038-13-2(Қауіпті заттар туралы деректер) |
| Уыттылық | Қоянда LD50 пероральді: > 10000 мг/кг |
Сукралоза CAS №56038-13-2 өнімін қолдану
Сукралоза (1,6-дихлоро-1,6-дидеокси-п-фруктофуранозил-4-хлоро-ок- D-галактопиранозид) сахароза негізіндегі қоректік емес тәттілендіргіш болып табылады. Ол селективті хлорланған және екі сақина арасындағы гликозидтік байланыс қышқыл немесе ферменттер әсерінен гидролизге төзімді, сондықтан ол метаболизденбейді. Оның тәттілігі сахарозадан 400-800 есе артық, суда өте жақсы ериді, ыстықта тұрақты. Оны пісірілген немесе қуырылған тағам өнімдерінде қолдануға болады.
Сукралоза үш гидроксил тобын (OH) үш хлор (Cl) атомымен алмастыратын Tate және LyIe патенттелген процесінің көмегімен сахароза молекуласын селективті хлорлау арқылы өндіріледі.
Бұл өзгертілген қант денеге аз сіңеді және өзгеріссіз шығады. Ол 1999 жылы Америка Құрама Штаттарында тағамдар мен сусындарда қолдануға рұқсат етілген.
Зауыт және жабдықтар көрмесі
Жылдам жеткізу уақыты
Түгендеу 2-3 жұмыс күні Жаңа өндіріс 7-10 жұмыс күні


